In SSC exam, quantitative Aptitude section is more scoring and easy, if you know the shorts tricks and formulas of all the topics. So, it is important to know the basic concepts of all the topics so you can apply the short tricks and solve the question with the new concepts in lesser time while giving the quiz. It will help you to score more marks from this section in less time period. Quantitative Aptitude section basically measures your mathematical and calculation approach of solving the question. SSC Quiz of quantitative Aptitude section helps you to analyse your preparation level for the upcoming SSC examination. Mahendra Guru provides you Quantitative Aptitude Quiz for SSC examination based on the latest pattern so that you can practice on regular basis. It will definitely help you to score good marks in the exam. It is the most important section for all the govt exams like Insurance, SSC-MTS, SSC CPO, CGL, CHSL, State Level, and other Competitive exams.
So, here we will provide you a set of 10 questions of Quantitative Aptitude, important for SSC CHSL exam.
Q.1. A tank can be filled with water by two pipes A and B together in 36 hours. If the pipe B was stopped after 30 hours, the tank is filled in 40 hours. The pipe B can alone fill the tank in
एक टंकी दो नालों द्वारा 36 घंटे में भरी जाती है। यदि नल B को 30 घंटे बाद बंद कर दिया जाता है, तो टंकी 40 घंटे में भरी जाती है। नल B अकेले टंकी को भर सकता है
(A) 45
(B) 60
(C) 75
(D) 90
Q.2. In an election between two candidates for the post of secretary, 4% of the total votes cast are declared to be illegal. One candidate secures 55% of the valid votes and wins with a majority of 240 votes, find the total number of votes cast
सचिव के पद के लिए दो उम्मीदवारों के बीच चुनाव में कुल डाले गए वोटों का 4% अवैध घोषित किया गया है। एक उम्मीदवार वैध वोटों का 55% सुरक्षित करता है और 240 वोटों के बहुमत के साथ जीतता है, वोटों की कुल संख्या ज्ञात कीजिए।
(A) 3500
(B) 2400
(C) 2200
(D) 2500
Q. 3. In an examination, the number of those who passed and the number of those who failed were in the ratio 25: 4. If five more had appeared and the number of failures was 2 less than earlier, the ratio of passers to failures would have been 22: 3. The total number who appeared at the examination is
एक परीक्षा में, उत्तीर्ण छात्रों की संख्या का अनुत्तीर्ण छात्रों की संख्या से अनुपात 25: 4 है। यदि पांच और परीक्षा में सम्मिलित होते और अनुत्तीर्ण होने वाले छात्रों की संख्या पहले से दो कम होती, उत्तीर्ण छात्रों की संख्या का अनुत्तीर्ण छात्रों की संख्या से अनुपात 22: 3 हो जाएगा। परीक्षा में सम्मिलित होने वाले कुल छात्रों की संख्या है
(A) 150
(B) 145
(C) 155
(D) 180
Q. 4. The ratio between the number of sides of two regular polygons is 1: 2 and the ratio between their interior angles is 2: 3. The number of sides of these polygons are respectively.
दो समबहुभुज के भुजाओं की संख्याओं का अनुपात 1: 2 है एवं उनके प्रत्येक अंतः कोण के मान का अनुपात 2: 3 है, तो उन समबहुभुज की भुजाओं की संख्या क्रमशः है-
(A) 10, 20
(B) 8, 16
(C) 12, 6
(D) 4, 8
Q. 5. An A.P. consists of 60 terms. If the first and the last terms be 7 and 125 respectively, find 32nd term.
यदि A.P में 60 पद हैं । यदि पहला और अन्तिम पद क्रमशः 7 और 125 हैं, 32 वां पद ज्ञात कीजिये ।
(A) 96
(B) 67
(C) 69
(D) 62
Q. 6. A certain sum invested at 4% per annum at compound interest, compounded half yearly, amount to Rs.23409 at the end of one year. The sum is
एक निश्चित धनराशि 4% प्रति वर्ष चक्रवृद्धि ब्याज पर निवेश की गयी, अर्द्धवार्षिक रूप से संयोजित होकर एक वर्ष के अन्त में 23409 रुपये की राशि बन जाती है । धनराशि है
(A) Rs.22500
(B) Rs.25000
(C) Rs.27500
(D) Rs.22200
Q. 7. What is the sum of money at compound interest will amount to Rs. 2249.52 in 3 years, if the rate of interest is 3% for the first year, 4% for the second year and 5% for the third year?
चक्रवृद्धि ब्याज पर धनराशि क्या है जिस पर 3 वर्ष में मिश्रधन रु.2249.52 हो जाता है, यदि ब्याज की दर पहले वर्ष के लिए 3%, दूसरे वर्ष के लिए 4% और तीसरे वर्ष के लिए 5% है?
(A) Rs. 1500
(B) Rs. 2000
(C) Rs. 1850
(D) Rs. 1750
Q. 8. Find the sum of the series/श्रेणी का योग ज्ञात कीजिए:
51 + 50 + 49 + … + 21.
(A) 1116
(B) 1611
(C) 1166
(D) 1616
Q. 9. A sum of money invested at the compound interest doubles itself in 6 years. At the same rate of interest, it will amount to eight times of itself in
चक्रवृद्धि ब्याज पर निवेशित एक धनराशि 6 साल में स्वयं का दोगुना हो जाती है। समान ब्याज की दर पर, यह स्वयं का आठ गुना होगी
(A) 48 years/वर्ष
(B) 24 years/वर्ष
(C) 20 years/वर्ष
(D) 18 years/वर्ष
Q. 10. If the difference between the compound interest and the simple interest on a certain sum of money at 5% per annum for 3 years is Rs. 1220. What is the sum?
यदि एक निश्चित राशि पर 3 वर्ष के लिए 5% प्रति वर्ष की दर से चक्रवृद्धि ब्याज और साधारण ब्याज के बीच का अंतर रु. 1220 है । राशि क्या है?
(A) Rs. 150000
(B) Rs. 200000
(C) Rs. 250000
(D) Rs. 160000
Answer Key:
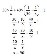
Q1. (D) Let the pipe B fill the tank in x hours./ माना नल B टंकी को x घंटे में भरती है |
Part of the tank filled by pipes A and B in 1 hour/ नल A और B द्वारा 1 घंटे में भरा गया भाग
= 
Part of the tank filled by pipe A in 1 hour/ नल A द्वारा 1 घंटे में भरा गया भाग = 
According to the question/ प्रश्नानुसार
Q2. (D) Let total number of votes/ माना वोटों की संख्या = 100
Number of illegal votes/ अवैध मतों की संख्या = 4
Number of valid votes/ वैध मतों की संख्या = 100 – 4 = 96
Votes secured by the contestant who is defeated/ हारे गए प्रत्याशी द्वारा प्राप्त किये गए मतों की संख्या = 96 – 52.8 = 43.2
According to the question/ प्रश्नानुसार,
52.8 – 43. 2 = 240
9.6 = 240
1 = 25
100 = 2500
Q3. (B) Let the number of failures/ माना अनुत्तीर्ण होने वाले छात्रों की संख्या = 4x
and that of passers/ और उत्तीर्ण होने वाले छात्रों की संख्या = 25x
Total number of students/ कुल छात्रों की संख्या = 4x + 25x = 29x
Now/ अब, according to the question/प्रश्नानुसार,
Number of students/ छात्रों की संख्या = 29x + 5
Number of failures/ अनुत्तीर्ण होने वाले छात्रों की संख्या = 4x - 2
So, number of passers/ अतः, उत्तीर्ण होने वाले छात्रों की संख्या = 29 + 5 - 4x + 2 = 25x + 7
75x + 21 = 88x – 44
13x = 65
x = 5
Total number of students/ कुल छात्रों की संख्या = 29x = 29 × 5 = 145
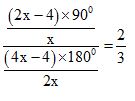
Q4. (D) Let the number of sides be x and 2x respectively./माना भुजाओं की संख्या क्रमशः x और 2x हैं।
According to the question/प्रश्नानुसार,
On solving, we get/हल करने पर, हम प्राप्त करते हैं
x = 4
Q5. (C) a1 + 59d = 125
59d = 118d = 118/59 = 2
a32 = a1 + 31d = 7 + 31(2) = 7 + 62
a32 = 69
Q6. (A)
Q7. (B)
Q8. (A) a + (n – 1) d = 21
51 + (n – 1) (– 1) = 21
(n – 1) (– 1) = 21 – 51
(n – 1) = 30
n = 31
Q9. (D) 22 = 4 times in 6 years
22 = 4 गुना होता है 6 वर्ष में
Required time/अभीष्ट समय = 3 × 6 = 18 years/वर्ष
Q10. (D)
