
Dear Readers,
As SBI has released the much-awaited vacancies for the post of Junior Assistants (Clerk), we have launched subject-wise quizzes for the exam. It will include quizzes of all the subjects- Quantitative Aptitude, English, Reasoning and Computer. All these quizzes will be strictly based on the latest pattern of SBI Clerk exam and will be beneficial for your preparations. So, keep following the quizzes which will provide you a set of 10 questions daily.
Here, we are providing you important questions of Quantitative Aptitude for SBI Clerk 2019 exam.
Q.1 – 3. What will come at the place of question mark (?) in the following number series?
निम्न संख्या – श्रृंखला में प्रश्नवाचक चिन्ह (?) के स्थान पर क्या आयेगा?
Q.1. 373248 46656 5832 729 ? 11.390625
(1) 91.215
(2) 91.125
(3) 91.135
(4) 91.225
(5) none of these/इनमें से कोई नहीं
Q.2. 129 132 123 150 69 ?
(1) 322
(2) 332
(3) 302
(4) 312
(5) none of these/इनमें से कोई नहीं
Q.3. 648 80 ? 87 760 94
(1) 740
(2) 720
(3) 704
(4) 702
(5) none of these/इनमें से कोई नहीं
Q.4. Two persons Prakhar and Sania invested in a business with 115000 and 75000 rupees respectively. They agree that 40% of the profit should be divided equally among them and rest is divided between them according to their investment. If Prakhar got 500 rupee more than Sania, then the total profit is.
दो व्यक्ति प्रखर और सानिया क्रमशः 115000 और 75000 रु. लगाकर एक व्यापार शुरू करते हैं | वे इस बात पर स्वीकार्यता करते हैं कि लाभ का 40% हिस्सा उनमें बराबर बराबर बाँट दिया जाएगा और शेष को उनके पूंजियों के अनुपात में बांटा जाएगा | यदि प्रखर, सानिया से 500 रु. अधिक प्राप्त करता है, तो कुल लाभ है
(1) Rs./रु.3599.33
(2) Rs./रु.3699.33
(3) Rs./रु.3958.33
(4) Rs./रु.3999.33
(5) None of these/इनमें से कोई नहीं
Q.5. The speed of a train increases by 2 kilometers after every one hour. If the distance travelled in the first one hour was 35 kilometers, then the total distance travelled in 12 hours was -
ट्रेन की गति प्रत्येक एक घंटे के बाद 2 किलोमीटर बढ़ जाती है। यदि पहले एक घंटे में यात्रा की दूरी 35 किलोमीटर थी, तो 12 घंटे में तय की गयी यात्रा की गई कुल दूरी थी -
(1) 460 km/किमी.
(2) 572 km/किमी.
(3) 483 km/किमी.
(4) 552 km/किमी.
(5) None of these/इनमें से कोई नहीं
Q.6. The difference between compound interest compounded every 6 months and simple interest after 2 years is 248.10. The rate of interest is 10 percent. Find the sum.
2 वर्ष में छमाही संयोजित होने वाले चक्रवृद्धि ब्याज और साधारण ब्याज में 248.10 है | यदि ब्याज की दर 10 प्रतिशत है | धनराशि ज्ञात कीजिये |
(1) Rs./रु.12000
(2) Rs./रु.14000
(3) Rs./रु.16000
(4) Rs./रु.18000
(5) None of these/इनमें से कोई नहीं
Q.7. The ratio of the monthly salaries of P and Q is in the ratio 5: 16 and that of Q and R is in the ratio 17: 18. Find the monthly income of R if the total of their monthly salary is Rs.1, 87, 450.
P और Q की मासिक वेतनों में अनुपात 15: 16 और Q और R की मासिक वेतनों में अनुपात 17: 18 है | R की मासिक वेतन ज्ञात कीजिये यदि उनका कुल मासिक वेतन 1, 87, 450 रु. है |
(1) Rs./रु.66240
(2) Rs./रु.72100
(3) Rs./रु.62200
(4) Rs./रु.65800
(5) Rs./रु.60300
Q.8 – 10. What approximate value will come in place of question mark (?) in the following questions?
निम्न प्रश्नों में प्रश्नवाचक चिन्ह (?) के स्थान आसन्न्तः पर क्या मान आयेगा?
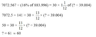
Q.8. 
(1) 60
(2) 65
(3) 55
(4) 50
(5) 70
Q.9. 
(1) 5600
(2) 6550
(3) 5680
(4) 5500
(5) 6500
Q.10. (562.5 × 6.02)6 ÷ (135.10 ÷ 9.004)10 ÷ (37.5 × 6.04)7
= (3.75 × 3.996)? – 6
(1) 2
(2) 4
(3) 6
(4) 5
(5) 0
Answer key:
Q1. (2) ÷ 8, ÷ 8, ÷ 8, ÷ 8, ÷ 8
Q2. (4) + 3, – 9, + 27, – 81, + 243
Q3. (3) – 8) ÷ 8, + 8) × 8, – 8) ÷ 8, + 8) × 8, – 8) ÷ 8
Q4. (3) Let total profit be Rs.x/माना कुल लाभ x रु. है |
Ratio between equivalent capitals/समतुल्य पूँजी में अनुपात = 115000 : 75000 = 23: 15
According to the question/प्रश्नानुसार,

Q5. (4) Required distance in 12 hours/12 घंटों में अभीष्ट दूरी = 
= 6 × (70 + 22) = 552
Q6. (3)
Q7. (1) P : Q = 15 : 16
Q : R = 17 : 18
P : Q : R = 15 × 17 : 16 × 17 : 18 × 16
= 255 : 272 : 288
R's salary/R की आय = 
Q8. (1)
Q9. (3)
Q10. (5) (562.5 ×
6.02)6 ÷ (135.10 ÷ 9.004)10 ÷ (37.5 × 6.04)7 =
(3.75 × 3.996)? – 6
(3375) 6 ÷ (135 ÷ 9)10 ÷
(37.5 × 6)7 18 – 10 – 14 =? – 6
? = 0