Reasoning quiz is to judge your mental as well as the logical ability of thinking. How sharply you think and make an effective decision on a given situation.This reasoning quiz enhances your in preparation for upcoming examination and evaluates your performance. So, do practices on regular basis and increase your selection chances in an upcoming examination. Reasoning section is more scoring section for all in several Banking exams if you have a right approach of decision making for solving the problem.
Mahendra Guru provides you Reasoning Quiz for Bank examination based on the latest pattern. So you can do practice on the regular basis it will definitely help you to score marks in the exam. The reasoning is the most important section for all the govt exam like IBPS PO/ Clerk/SO/RRB RBI, SBI Clerk, Insurance, SSC-MTS, CGL, CHSL, State Level and other Competitive exams.
Q.1-5 Read the following information carefully and answer the questions given below:-
Six students P, Q, R, S, T and U are studying for own master degree in different subjects. Subject’s are-English, History, Philosophy, Physics, Commerce and Mathematics.
Two among them are living in hostel, two are paying guest and two are living in own house. R is not paying guest and studies Philosophy. The student who studies History is living in his own house and the student who is not paying guest studies Commerce. T studies Mathematics and S studies Physics. U and S are living in hostel. T is paying guest and Q is living in his own house.
निम्नलिखित जानकारी का ध्यानपूर्वक अध्ययन कर नीचे दिये गये प्रश्नों के उत्तर दीजिए :
निम्नलिखित जानकारी का ध्यानपूर्वक अध्ययन कर नीचे दिये गये प्रश्नों के उत्तर दीजिए :
P,Q,R,S,T और U छः छात्र हैं, जो छः अलग-अलग विषयों में अपनी मास्टर डिग्री के लिए पढ़ रहे है। इनके विषय है अंग्रेजी, इतिहास, दर्शनशास्त्र, भौतिकी, वाणिज्य और गणित। इनमें से दो हॉस्टल में रहते है, दो पेइंग गेस्ट है, और दो अपने घर में रहते हैं। R पेइंग गेस्ट नहीं है, और दर्शनशास्त्र पढ़ता है इतिहास पढ़ने वाला छात्र अपने घर में रहता है और वाणिज्य पढ़ने वाला छात्र पेइंग गेस्ट नहीं है। T गणित पढ़ता है और S भौतिकी पढ़ता है। U और S हॉस्टल में रहते हैं। T पेइंग गेस्ट है तथा Q अपने घर में रहता है।
Q-1 Which of the following pairs of students are living in hostel and house?
(1) U - S
(2) S - R
(3) Q - R
(4) P - Q
(5) None of these
छात्रों के निम्न जोड़े में से कौन से जोड़े का एक छात्र हॉस्टल और घर में रहता है?
(1) U - S
(2) S - R
(3) Q - R
(4) P - Q
(5) इनमें से कोई नहीं
Q-2 Which of the following pairs of students are living in house?
(1) P - Q
(2) Q - R
(3) R - S
(4) S - T
(5) None of these
छात्रों का कौन-सा जोड़ा घर में रहता है?
(1) P - Q
(2) Q - R
(3) R - S
(4) S - T
(5) इनमें से कोई नहीं
Q-3 Which of the following pairs is wrong?
(1) Physics - hostel
(2) Commerce - hostel
(3) Mathematics - paying guest
(4) English - house
(5) None of these
निम्न में से कौन-सा युग्म गलत है?
(1) भौतिकी - हॉस्टल
(2) वाणिज्य - हॉस्टल
(3) गणित -पेइंग गेस्ट
(4) अंग्रेजी - घर
(5) इनमें से कोई नहीं
Q-4 Who of the following studies English subject?
(1) P
(2) Q
(3) R
(4) S
(5) None of these
अंग्रेजी विषय निम्न में से कौन पढ़ता है?
(1) P
(2) Q
(3) R
(4) S
(5) इनमें से कोई नहीं
Q-5 Which of the following subjects is studied by Q?
(1) English
(2) History
(3) Mathematics
(4) Physics
(5) None of these
Q कौन-सा विषय पढ़ता है?
(1) अंग्रेजी
(2) इतिहास
(3) गणित
(4) भौतिकी
(5) इनमें से कोई नहीं
Q.6-7 In each given question are followed by a statement and two arguments I and II. You have to decide which of the following arguments a strong argument is and which a weak argument is. In making decisions about important questions, it is desirable to be able to distinguish between strong arguments and weak arguments so for as they relate to the question. Strong arguments are those which are both important and directly related to the question. Weak arguments are those which are of minor importance and also may not be directly related to the question or may be related to a trivial aspect of the question.
Give answer-
नीचे दिए प्रत्येक प्रश्न में एक कथन व उसे बाद दो तर्क दिए गए हैं। आपको यह तय करना है कि कौन सा तर्क सशक्त है। निर्णय लेते समय यह आवश्यक है कि सशक्त व कमजोर तर्कों के बीच अन्तर किया जा सके जहाँ तक कि वे प्रश्नों से सम्बन्धित हैं। सशक्त तर्क वे तर्क होते हैं जो महत्वपूर्ण होने के साथ-साथ प्रश्न से सीधे सम्बन्धित होते हैं। कमजोर तर्क वे होते हैं जो कम महत्वपूर्ण होते हैं तथा प्रश्न से सीधे सम्बन्धित भी नहीं होते।
उत्तर दीजिए -
Q-6 Statement:- Should the government impart free education?
Arguments:-
I. Yes, many people will become educated.
II. No, by this government will incur budget deficit.
(1) If only argument I is strong.
(2) If only argument II is strong
(3) If either argument I or II is strong.
(4) If neither argument I nor II is strong.
(5) If both arguments I and II are strong.
कथन : क्या सरकार को शिक्षा निःशुल्क कर देनी चाहिए?
तर्क :
I. हाँ, बहुत से लोग शिक्षित हो जाएंगे।
II. नहीं, इससे सरकार के बजट में घाटा होगा।
(1) यदि केवल तर्क I सशक्त हैं।
(2) यदि केवल तर्क II सशक्त हैं।
(3) यदि या तर्क I या II सशक्त हैं।
(4) यदि न तो तर्क I और न ही तर्क II सशक्त नहीं हैं।
(5) यदि दोनों तर्क I व II सशक्त हैं।
Q-7 Statement:-
Should the lottery be banned at state level?
Arguments:-
I. Yes, government should not support the habit of gambling.
II. No, government would lose huge amount of money which it obtains from tax.
(1) If only argument I is strong.
(2) If only argument II is strong
(3) If either argument I or II is strong.
(4) If neither argument I nor II is strong.
(5) If both arguments I and II are strong.
कथन : क्या राजकीय लॉटरी को बन्द कर देना चाहिए?
तर्क:
I. हाँ, सरकार को जुआ खेलने की आदत को बढ़ावा नहीं देना चाहिए।
II. नहीं, सरकार को कर से प्राप्त होने वाली बहुत बड़ी धनराशि का नुकसान होगा।
(1) यदि केवल तर्क I सशक्त हैं।
(2) यदि केवल तर्क II सशक्त हैं।
(3) यदि या तर्क I या II सशक्त हैं।
(4) यदि न तो तर्क I और न ही तर्क II सशक्त नहीं हैं।
(5) यदि दोनों तर्क I व II सशक्त हैं।
Q.8-10 Read the following information carefully and give the answer of questions given below-
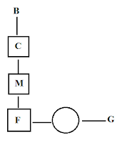
P + R means "P is the brother of R's sister".
P ÷ R means "R is the son of P".
P Δ R means "R is the father of P".
निम्नलिखित जानकारी को ध्यानपूर्वक पढ़कर नीचे दिये गये प्रश्नों के उत्तर दीजिए-
P + R का अर्थ है "P, R की बहन का भाई है।"
P ÷ R का अर्थ है "R, P का पुत्र है।"
P Δ R का अर्थ है "R, Pका पिता है।"
Q-8 If A+B
÷ K, which of the following is true?
(1) A is
the brother of B.
(2) A is
the uncle of K.
(3) A is
the son of K.
(4) A is
the father of B.
(5) 1 and 2
यदि A+B ÷ K है, तो निम्नलिखित में से कौन सा सत्य है?
(1) A, B का भाई है।
(2) A, K का अंकल है।
(3) A, K का पुत्र है।
(4) A, B का पिता है
(5) 1 और 2
Q-9 If P Δ B ÷ C + U, which of the following is
true?
(1) P is
the cousin of U.
(2) P is
the father of C.
(3) P is
the son of U.
(4) C is
the son of P.
(5) U is
child of B.
यदि P Δ B ÷ C + U है,
तो निम्नलिखित में से कौन सा सत्य है?
(1) P, U का कज़िन है
(2) P, C का पिता है
(3) P, U का पुत्र है
(4) C, P का पुत्र है
(5) U, B का बच्चा है।
Q-10 If B ÷ C ÷ M ÷F + G, which of the following
is true?
(1) C is
the son of M.
(2) C is
the grandfather of G.
(3) B is
the grandfather of M.
(4) B is
the grandmother of M
(5) G is
the son of M.
यदि B ÷ C ÷ M ÷F + G है, तो निम्नलिखित में से कौन सा सत्य है?
(1) C, M का पुत्र है
(2) C, G का ग्राण्ड फादर है
(3) B, M का ग्राण्ड फादर है।
(4) B, M की ग्राण्ड मदर है।
(5) G, M का पुत्र है।
SOLUTION:-
Q.1-5
|
P
|
PG
|
ENGLISH
|
|
Q
|
OWN HOUSE
|
HISTORY
|
|
R
|
OWN HOUSE
|
PHILOSOPHY
|
|
S
|
HOSTEL
|
PHYSICS
|
|
T
|
PG
|
MATHS
|
|
U
|
HOSTEL
|
COMMERCE
|
Q.2 (2),
Q.3 (4),
Q.4 (1),
Q.5 (2),
Q.6 (5), both arguments I and II are strong / दोनों तर्क I व II सशक्त हैं।
Q.7 (4), neither argument I nor II is strong / न तो तर्क I और न ही तर्क II सशक्त नहीं हैं।
Q.8 (5),

Q.9 (5),

Q.10 (2)

