Q.1 When 335 is added to 5x7, the result is 8y2. 8y2 is divisible by 3. What is the largest possible value of x.
जब 335 को 5x7 में जोड़ा जाता है तो परिणाम 8y2 प्राप्त होता है। 8y2, 3 से विभाजित है। x का महत्तम सम्भव मान क्या है ?
A. 8
B. 2
C. 5
D. 4
Q.2 The H.C.F. and L.C.M. of two numbers are 17 and 595 respectively. If one of the number lies between 100 and 150, then, that number is-
दो संख्याओं का म.स.प. और ल.स.प. क्रमशः 17 और 595 हैं। यदि उनमें से एक संख्या 100 और 150 के मध्य है। वह संख्या है-
A. 102
B. 119
C. 136
D. 145
Q.3 Simplify/सरल कीजिए
A. 34/69
B. 35/69
C. 69/34
D. 69/35
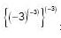
A. -19683
B. -53144
C. -17714
D. -59049
Q.5 The average weight of five persons sitting in a boat together with two drivers of the boat is 38 kg. The average weight of the both drivers and all the persons sitting in the boat is 52 kg. What is the weight of the boat?
किसी नाव के अन्दर बैठे व्यक्तियों तथा नाव के दो चालकों का एक साथ औसत वजन 38 किग्रा. है। नाव के दो चालकों तथा नाव के अन्दर बैठे सभी व्यक्तियों का औसत वजन 52 किग्रा. है। नाव का भार (किग्रा. में) क्या है ?
A. 180 kg/किग्रा.
B. 175 kg/किग्रा.
C. 166 kg/किग्रा.
D. 150 kg/किग्रा.
Q.6 The sum of 5% of a number and 4% of the other number is 2/3 of the sum of 6% of the first number and 8% of the second. The fraction containing first number in numerator and second number in denominator is-
एक संख्या के 5% और दूसरी संख्या के 4% का योग पहली संख्या के 6% और दूसरी संख्या के 8% के योग का 2/3 है। वह भिन्न ज्ञात कीजिए जिसमें प्रथम संख्या अंश में और दूसरी संख्या हर में हो।
A. 2/3
B. 3/2
C. 3/4
D. 4/3
Q.7 How many sides does a regular polygon have whose interior and exterior angles are in the ratio 3:1 ?
समचतुर्भुज में कितनी भुजाएँ है, यदि उसके आन्तरिक और वाहृ कोण का अनुपात 3:1 है ?
A. 6
B. 8
C. 10
D. 12
Q.8 Given that 0.111..........=1/9 , then 0.666 is equal to
दिया है 0.111..........=1/9 , तो 0.666 बराबर है।
A. 1/90
B. 3/45
C. 1/99
D. 2/3
Q.9 In a shop, articles are usually sold at 40% above the cost price. During a sale, the shopkeeper offers a discount of 10% off of the usual selling price. If he manages to sell 36 articles for Rs. 6804, then his cost price per article. (In Rs.) is-
एक दुकान में, वस्तुएँ प्रायः अंकित मूल्य से 40% अधिक मूल्य पर बेची जाती हैं। एक बिक्री में, दुकानदार 10% की छूट सामान्य विक्रय मूल्य पर देता है। यदि वह 36 वस्तुएं 6804 रू. की बेचता है तो उसके लिए प्रति वस्तु क्रय मूल्य है- (रू. में)
A. 210
B. 150
C. 180
D. 125
Q.10 A man buys an article on making cash down payment of Rs. 16,224 and promises to pay two yearly instalments of equivalent amount at the end of first year and second year. If the rate of interest is 4% per annum, compounded annually, the cash value of the article is-
एक आदमी 16,224 रू. की नकद भुगतान राशि पर एक वस्तु खरीदता है और अतिरिक्त धनराशि को दो वार्षिक किश्तों में प्रथम वर्ष के अन्त में और द्वितीय वर्ष के अन्त में देने का वायदा करता है। यदि ब्याज की दर 4% वार्षिक है चक्रवृद्धि ब्याज की दर से तो वस्तु का नकद मूल्य है।
A. 40,000 रू.
B. 46,000 रू.
C. 46,824 रू.
D. 50,000 रू.
ANSWER KEY
1. D
2. B
3. C
4. A
5. D
6. D
7. B
8. D
9. B
10. C

0 comments:
Post a Comment
MAHENDRA GURU