1.) What value will come in the place of question mark in the following number series-
नीचे दी गयी संख्या श्रृंखला में प्रश्नवाचक चिह्न (?) के स्थान पर क्या मान आएगा ?
427 85.4 34.16 20.496 ?
1.) 16.3968 2.) 12.2968 3.) 13.6968 4.) 15.3985 5.) 17.4895
Sol
×0.2,× 0.4, × 0.6, ×0.8
2.) What value will come in the place of question mark in the following number series-
नीचे दी गयी संख्या श्रृंखला में प्रश्नवाचक चिह्न (?) के स्थान पर क्या मान आएगा ?
5 9 36 208 1398 ?
1.) 11342 2.) 11472 3.) 11274 4.) 11674 5.) 11562
Sol
[5+22] × 1 = 9,[9+32] × 2 = 36,[36+42] × 4 = 208,[208+52] × 6 = 1398,[1398+62] × 8 = 11472
3.) What value will come in the place of question mark in the following number series-
नीचे दी गयी संख्या श्रृंखला में प्रश्नवाचक चिह्न (?) के स्थान पर क्या मान आएगा ?
27 17 ? 4292 237.5 718.5
1.) 21 2.) 22 3.) 23 4.) 25 5.) 26
Sol
27 x 0.5+0.5 x 7=17;17 x 1+1 x 6=23;23 x 1.5+1.5 x 5=42;42 x 2+2 x 4=92
4.) What value will come in the place of question mark in the following number series-
नीचे दी गयी संख्या श्रृंखला में प्रश्नवाचक चिह्न (?) के स्थान पर क्या मान आएगा ?
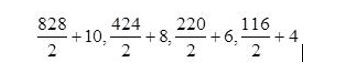
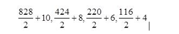
828 424 220 116 ? 33
1.) 68 2.) 66 3.) 64 4.) 62 5.) 60
Sol
5.) What value will come in the place of question mark in the following number series-
नीचे दी गयी संख्या श्रृंखला में प्रश्नवाचक चिह्न (?) के स्थान पर क्या मान आएगा ?
128 640 983 1199 1324 ?
1.) 1388 2.) 1366 3.) 1344 4.) 1322 5.) 1311
Sol
+83,+73,+63,+53,+43
6.) What value will come in the place of question mark in the following number series-
नीचे दी गयी संख्या श्रृंखला में प्रश्नवाचक चिह्न (?) के स्थान पर क्या मान आएगा ?
13824 ? 17576 19683 21952 24389
1.) 15225 2.) 15325 3.) 15425 4.) 15525 5.) 15625
Sol
15625
13824 ? 17576 19683 21952 24389
243 253 263 273 283 293
7.) What value will come in the place of question mark in the following number series-
नीचे दी गयी संख्या श्रृंखला में प्रश्नवाचक चिह्न (?) के स्थान पर क्या मान आएगा ?
1 2 10 93 ? 37305
1.) 133 2.) 136 3.) 142 4.) 152 5.) 162
Sol
136
8 15 32 69 ? 243
+7 +17 +37 +67 +107
+10 +20 +30 +40
8.) What value will come in the place of question mark in the following number series-
नीचे दी गयी संख्या श्रृंखला में प्रश्नवाचक चिह्न (?) के स्थान पर क्या मान आएगा ?
1 2 10 93 ? 37305
1.) 1433 2.) 1456 3.) 1462 4.) 1475 5.) 1492
Sol
1492
1 2 10 93 ? 37305
×12+1 ×22+2 ×32+3 ×42+4 ×52+5
9.) What value will come in the place of question mark in the following number series-
नीचे दी गयी संख्या श्रृंखला में प्रश्नवाचक चिह्न (?) के स्थान पर क्या मान आएगा?
17439 ? 14158 12637 11193 9824
1.) 15678 2.) 15786 3.) 15758 4.) 15475 5.) 15725
Sol
15758
17439 ? 14158 12637 11193 9824
-412 -402 -392 -382 -372
10.) What value will come in the place of question mark in the following number series-
नीचे दी गयी संख्या श्रृंखला में प्रश्नवाचक चिह्न (?) के स्थान पर क्या मान आएगा ?
7 9 11 18 27 ?
1.) 33 2.) 35 3.) 43 4.) 47 5.) 51
Sol
